- Полное прохождение
- Глава 1: Деревня Калим
- Глава 2: Гебет
- Глава 4: Казарма Стражей
- Глава 5: Святой город Аратум
- Глава 6: Осада (часть 1)
- Глава 7: Осада (часть 2)
- Глава 8: Глубинный лес
- Глава 9: Исконная кузница
- Глава 10: Забытые равнины
- Глава 11: Перелом
- Глава 12: Командный пункт Стражей
- Глава 13: Из иного мира
- Глава 14: Шпиль Нератула
- Глава 15: Город Райуул
- Глава 16: Болота КарТула
- Глава 17: Храм Ломарит
- Глава 18: Чрево зверя
- Глава 19: Пристанище душ
- Глава 20: Воскрешение
- Глава 22: Возмездие
- Все квесты и их прохождение
- Все рецепты алхимии
- Все скрытые перки
- Все загадки Вотрубы
- Карта батрака Вашека
- Карта видлакских разбойников
- Карта утопленника
- Карта Желеевских болот
- Карта лесорубов из Нижнего Семина
- Оставшаяся от мертвеца карта
- Карта слатейовских охотничьих угодий
- Карта пойманного вора
- Карта контрабандиста
- Карта Боржика
- Хижина дикой бабы
- Хижина водяного
- Перевернутая телега
- Где найти лопату?
- Как получить лошадь?
- Интерактивная карта
- Странные вирши
- Штольня под Тросками
- Два мертвых дерева
- Промокоды
- Тир-лист персонажей
- Баннеры 1.2
- Тир-лист банбу
- Инспектор Мяучело
- Памятные монеты АИК
- Пропавшие мини-грузовики
- Все скрытые квесты
- Все достижения
- Все арты c6 персонажей
- Как повысить уровень доверия агентов?
- Клякса: как приручить?
- Видеопрокат и все видеокассеты
- Отдыхающая домохозяйка: фильм
- Ностальгирующая девушка: фильм
- Влюбленная девушка: фильм
- Квест Клуб загадочников 1 и 2
- Квест Отмотай назад, детектив
- Квест Заметание секретов
- Квест Пропавшая картина
- Квест Бескрайняя бездна
- Квест Пророчество
- Квест Лимб банбу
- Все гайды
- Испытания Мерлина
- Хранилища сокровищ
- Луны мистера Муна
- Хитроумные ключи
- Головоломки Иродианы
- Квест «Призрак нашей любви»
- Квест «Колодец, колодец»
- Квест «Сокровища из проклятой гробницы»
- Квест «Гиппогриф вам укажет путь»
- Квест «Словно по звонку»
- Непростительные заклинания
- Все легендарные сундуки
- Все животные и твари
- Все метлы
- Все концовки
- Все гайды
- Башня Рамазита и колдовской погреб
- Вызов Шар — все испытания и Копье Ночи
- Логово Ансура — все чертоги и дракон
- Литейная стальной стражи — как спасти гондийцев
- Обыскать подвал — как открыть Некромантию Тхая
- Разрушенная башня — как запустить лифт
- Адамантиновая кузня — все формы и мифриловая руда
- Завершить оружейный шедевр — кора суссура
- Тетушка Этель — как спасти Майрину
- Яйцо гитьянки — как украсть и можно ли вырастить
- Мистический Падальщик — где найти слугу
- Найти клоуна Каплю — все части тела
- Как победить Геррингот Торм?
- Где найти Кровь Латандера?
- Где найти Песню Ночи?
- Все гайды
- Промокоды Honkai Star Rail
- Все сундуки Золотого мига в Honkai Star Rail
- Похвала высокой морали в Honkai Star Rail
- Все сундуки в Лофу Сяньчжоу из Honkai Star Rail
- Первооткрыватель в Honkai Star Rail
- Все сундуки Сада безмятежности в Honkai Star Rail
- Беглецы в Доме кандалов
- Заказ прокси
- Дом кандалов: сундуки и робоптахи
- Гексанексус: Remake в ХСР
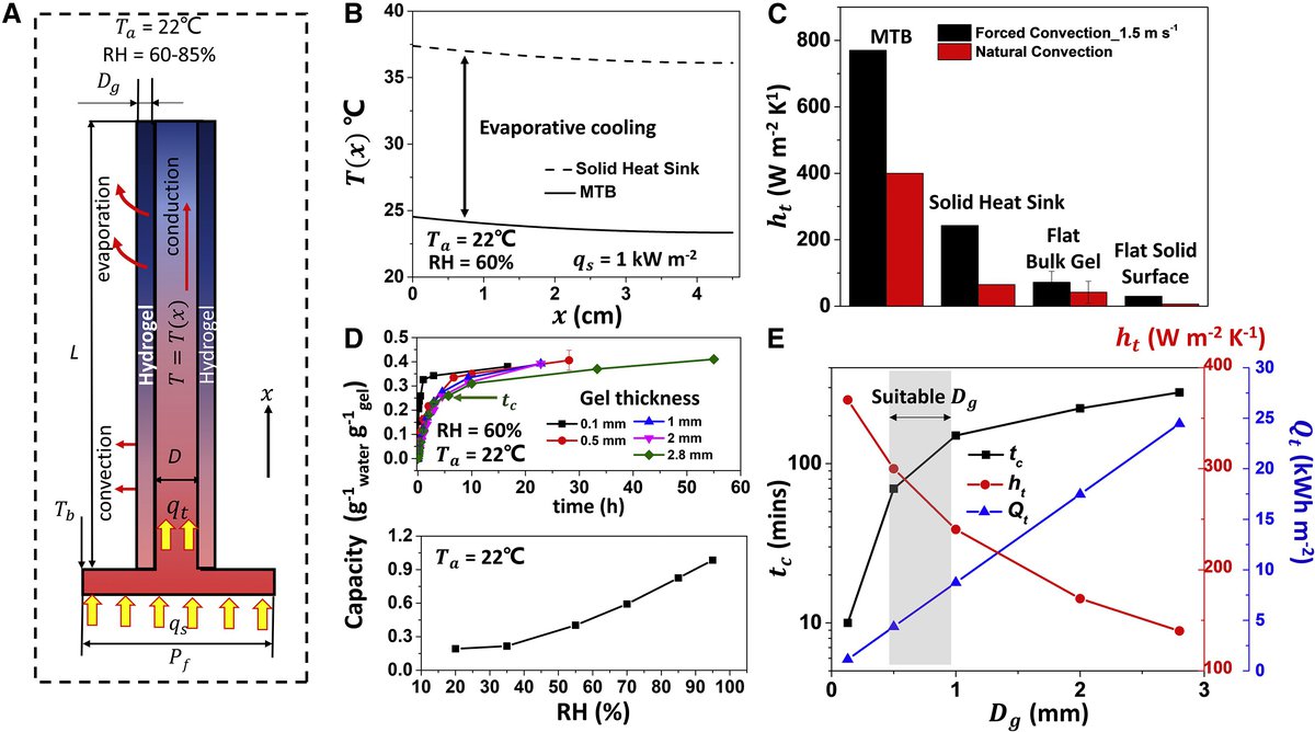
Core i5-4690 охладили на 15 градусов с помощью гидрогеля
Во время эксперимента не использовался вентилятор.
Исследователи из Калифорнийского университета обнаружили, что пассивные системы охлаждения, в которых используется гидрогель, гораздо эффективнее обычных пассивных систем. Эксперимент проводился на процессоре Intel Core i5-4690.
Сперва исследователи замерили нагрев процессора, охлаждавшегося только массивным радиатором; в пике температура поднималась почти до 80 градусов. Затем была использована влаготермическая термальная батарея на основе гидрогеля.
Во время испытаний системы охлаждения на базе гидрогеля пиковая температура процессора снизилась примерно на 15 градусов Цельсия. В обоих случаях для охлаждения процессора не использовались вентиляторы.
Как объясняют исследователи, принцип работы гидрогелевой термальной батареи напоминает теплообмен у животных. Когда температура повышается, гидрогель выделяет воду — она испаряется и устройство охлаждается. Когда температура снижается, гидрогель впитывает влагу из воздуха.
Системы на базе гидрогеля должны особенно хорошо работать в регионах с высокой влажностью. В регионах с низкой влажностью их предлагается совмещать с испарительными камерами и другими современными системами пассивного охлаждения.
Исследователи полагают, что охлаждение на базе гидрогеля отлично подойдет для серверов, аккумуляторных батарей и чипов 5G. О применении в игровых устройствах речь пока не идет.
- Благодаря ИИ игровая студия в 5 раз сократила затраты на арт и ускорила разработку
- Создан MarioGPT — это ИИ, генерирующий уровни для Super Mario Bros.
- Полеты летающего автомобиля одобрили в Китае
- The Sims 4 стала инклюзивнее: детали патча 1.95 с послеоперационными шрамами
- Костюм, имитирующий ножевые ранения и ползающих насекомых, показали на CES
- Квест попробовали сделать с помощью ИИ, вот что вышло


